日常生活の疑問から社会問題まで、法律をわかりやすく、もっと身近に。

「地方vs.都会の格差問題ではない」参院選“議員定数是正”訴訟で東京高裁は“憂慮”示すも、結局は「合憲」判決…5人の弁護士が憤る“理由”

「地方vs.都会の格差問題ではない」参院選“議員定数是正”訴訟で東京高裁は“憂慮”示すも、結局は「合憲」判決…5人の弁護士が憤る“理由”
(左から)原告復代理人の永島賢也弁護士、原告の國部徹弁護士、三竿径彦弁護士、森徹弁護士、山口邦明弁護士(11月12日 東京都内/弁護士JPニュース編集部)

今年7月20日に実施された参議院議員選挙が議員定数配分の不均衡により「違憲・無効」であるとして、三竿径彦(みさお みちひこ)弁護士らのグループ(三竿グループ)が、東京都選挙区と、全国を対象とした比例代表選挙について選挙無効の判決を求めた裁判で、11月12日、東京高裁は原告の請求を棄却する判決を行った。

三竿グループは、越山康弁護士(故人)らが1960年代から始めた、参議院議員選挙が行われるたびに「定数是正訴訟」を起こす活動を引き継いできている。

これまでの訴訟で、裁判所はいずれも国会の裁量を広く認めて請求を棄却してきた。しかし、最高裁は判決理由中で問題点を指摘し、それが国会を動かし、少しずつ是正が行われてきている。

判決後の記者会見には原告ら5人の弁護士が参加し、三竿弁護士は「裁判所が現状を追認するような判決を出し続けていると、いつまで経っても進歩しないのではないか」と述べた。

高裁レベルで7つの「違憲状態」判決

現行の参議院議員の選挙制度は2018年に定められたものである。

選挙区を原則として各都道府県単位とし、人口の多い都道府県には複数の改選議席を配置している(北海道3、茨城2、千葉3、埼玉4、東京6、神奈川4、静岡2、愛知4、大阪4、京都2、兵庫3、広島2、福岡3)。

他方で、人口の少ない「鳥取県と島根県」、および「高知県と徳島県」についてはまとめて1選挙区とする「合区」を行っている。

その結果、今年7月の参院選を含む過去4回の参院選では、較差(こうさ)は「3倍」程度で推移している。

過去2回(2019年、2022年)の参院選に関する定数是正訴訟では、最高裁はいずれも国会の較差是正への取り組みが進展していないと指摘した。特に2023年の最高裁判決は、較差のさらなる是正を図ること等が「喫緊の課題」であるとの評価を示し、国会に対し是正を強く促していた(最高裁令和5年(2023年)10月18日判決)。

今年7月の参院選については、全国の高裁に訴訟が提起されている。12日の東京高裁判決より前に出された11の高裁判決はすべて原告の請求を棄却しているが、そのうち7つでは上記参院選での較差が最大で3.126倍だったことについて「違憲状態」にあるとの指摘を行っている。

しかし、東京高裁は本判決に先立って10月30日に升永英俊弁護士、久保利英明弁護士らの「升永グループ」が提起した選挙訴訟で合憲の判断を行っており、本判決でも同様に合憲との判決が行われることが予想されていた。

東京高裁判決は「まったく進展がない」と批判

本判決で東京高裁は以下の通り判示した。

「本件選挙当時の選挙区間における投票価値の不均衡が、違憲の問題が生ずる程度の著しい不平等状態にあったものとはいえず、本件定数配分規定が憲法に違反するに至っていたものということはできない」

その主な理由は以下の2つである。

①2015年の公選法改正後、今回の選挙に至るまでに、較差が有意に拡大されたとまではいえない(前前回(2019年)⇒前回(2022年)⇒今回(2025年)と3倍程度で推移)

②合理的な成案に達するにはなお一定の時間を要することもやむを得ない

第一の点(較差が3倍程度で推移している点)について、森徹弁護士は、裁判所が「1:3程度」という較差を正当化する根拠が乏しいと批判する。

森徹弁護士(11月12日 東京都内/弁護士JPニュース編集部)

森弁護士:「なぜ較差が3倍程度ならOKなのかという論理的な根拠が明らかにされていない。だから他の高裁では『違憲状態』と言ったり『合憲』と言ったり一定しないことになる。

これは法律論ではなく、法律の知識の専門家の議論でもない。バナナのたたき売りと変わらない非科学的な論理がまかり通っているから、是正されていかない」

また、第二の点(参院での審議に一定の時間がかかる点)については、これまでの経緯にてらし、「正当化の理由にならない」と指摘する。

森弁護士:「国会は『そのうち』と言いながら全然着手してきていない。平成24年(2012年)の法改正の際に付則に『平成28年(2016年)参院選に向けて結論を出す』と定め、それを起点とするともう10年経った。

令和元年(2019年)にも、選挙へ向けて必ず結論を出すと言いながら、出さなかった。それからもう7年経った。

一体何年待てばいいのか」

山口邦明弁護士は、「令和5年の最高裁判決の焼き直しのようなものでまったく進展がない」と批判する。

山口弁護士:「裁判所は、国会といつまでもキャッチボールで遊んでいる場合ではない。

最高裁は、都道府県の人口の比率と議席の比率とが一致する人口比例配分が原則であることを認めている。裁判所は『憲法に従ってこういう基準で進めなさい』と基準を示すべきだ」

山口邦明弁護士(11月12日 東京都内/弁護士JPニュース編集部)

判決は「懸念」を示し「警告」もしたが

本判決は、合憲との判断を下す一方で、以下の通り、懸念を示してもいる。

「令和2年(2020年)大法廷判決および令和5年(2023年)大法廷判決の言渡し後も、立法府による較差の是正や拡大防止に向けた取組に具体的な進展がみられず、結果として選挙区間の最大較差が拡大しており、(中略)平成27年(2015年)改正から、本件選挙までに約10年もの期間が経過していることからすれば、本件選挙当時、本件定数配分規定の下での選挙区間における投票価値の不均衡が、違憲の問題が生ずる程度の著しい不平等状態にあったとの判断もあり得るところである。そのように判断しなければ、選挙区間の最大較差が3倍程度であれば憲法上の問題を生ずることはないとの誤解を立法府に生じさせ、較差是正に向けた取組がさらに弱まることも懸念される」

「今後も選挙区間の較差が拡大していくことが確実視されるのであって、こうした状況下で、議論の進展がなく何らの成案も得ないまま参議院議員の選挙が行われた場合には、憲法違反の判断がされることは免れない」

永島賢也弁護士(原告の復代理人)は、「東京高裁が、国会に現状のままででよいと誤解させることが『懸念される』としておきながら、違憲だと判決を下さなかったところが残念だ」と述べる。

永島賢也弁護士(11月12日 東京都内/弁護士JPニュース編集部)

國部徹弁護士も「議論の進展がないまま参院選が行われた場合に、裁判所が『次も議論すればいいですよ』という立場をとるならば、永遠に『違憲状態』にすらならない」と喝破した。

「選管側の資料」に全面的に依拠した事実認定への批判も

原告は本件訴訟で、現行の公選法を制定する際の「立法手続きの過程での憲法違反」を指摘していた。

その点につき、國部弁護士は、現行の公選法の制定過程で参院での議論をリードする立場にあった2人の参議院議員、「参議院改革協議会」座長の松山政司議員と、「選挙制度に関する専門委員会」委員長の牧野たかお議員に対する証人尋問の申し出が不採用となったことを批判した。

國部徹弁護士(11月12日 東京都内/弁護士JPニュース編集部)

國部弁護士:「比例代表選挙の『特定枠』は、『合区』された都道府県の議員を救済するために設けられたことは、周知の事実と言っていい。

ところが、判決は『全国的な支持基盤や知名度を有するとはいえないが国政上有為な人材や、様々な意味での少数意見や多様性を代表する者、政党が民意反映の役割を果たす上で必要な人材などが当選しやすくなる』とか、きれいな話を書いている。

本来は、本当にそうだったのか、立法にあたった当事者である参議院議員の証人尋問・反対尋問を行って事実認定をすべきだ。それなのに選管(中央選挙管理委員会)が提出した資料だけで事実認定されてしまうことは納得できず、毎回、憤りを感じる」

「定数不均衡の是正」を求める理由

被告である国側は、参議院が「良識の府」「再考の府」であり、「人口を基準とするのみでは適切に反映されない国民の意見を公正かつ効果的に国政に反映させるため、投票価値の平等の要請のみならず、それ以外の諸要素についても十分に考慮することを求めている」としている。

また、議員定数不均衡の問題については、昔から、「中央と地方の格差が存在するので、ある程度の不均衡を許容しなければ、地方の声が国会に届きにくくなる」などの意見も根強い。

これらの意見は、一見、いかにも正当性がありそうにも思える。

しかし、三竿弁護士は「憲法・民主主義の観点からみても、実態の観点からみても違う」と指摘する。

三竿径彦弁護士(11月12日 東京都内/弁護士JPニュース編集部)

まず、第一の憲法・民主主義の観点について。

三竿弁護士:「代表民主制では、国民が自分たちの代表者を選び、代表者が議論をして最終的に多数決で決める。

そこでの意思決定は、私たちの手足を縛り、国の行方を決めるきわめて重要なものだ。国会議員が投じる1票の重みがもし違ったら、国会の意思決定が国民の意思にマッチしているかどうかすら分からないことになる。

だからこそ、国会議員が投じる1票は同じ価値でなければならない。

国会議員が同じ数の人口から選ばれて、初めて、国民の意思と国会の意思が一致する。ある国会議員が50万人の選挙区、ある議員が100万人の選挙区から選ばれても、正当な多数決にはならない」

「地方の声が国会に届きにくくなる」という「誤解」

次に、第二の「地方の声が国会に届きにくくなる」との意見についても、実際の数値を示して反論する。

三竿弁護士:「議員1人あたりの人口の差は『地方対都会の格差』という単純な話ではない。

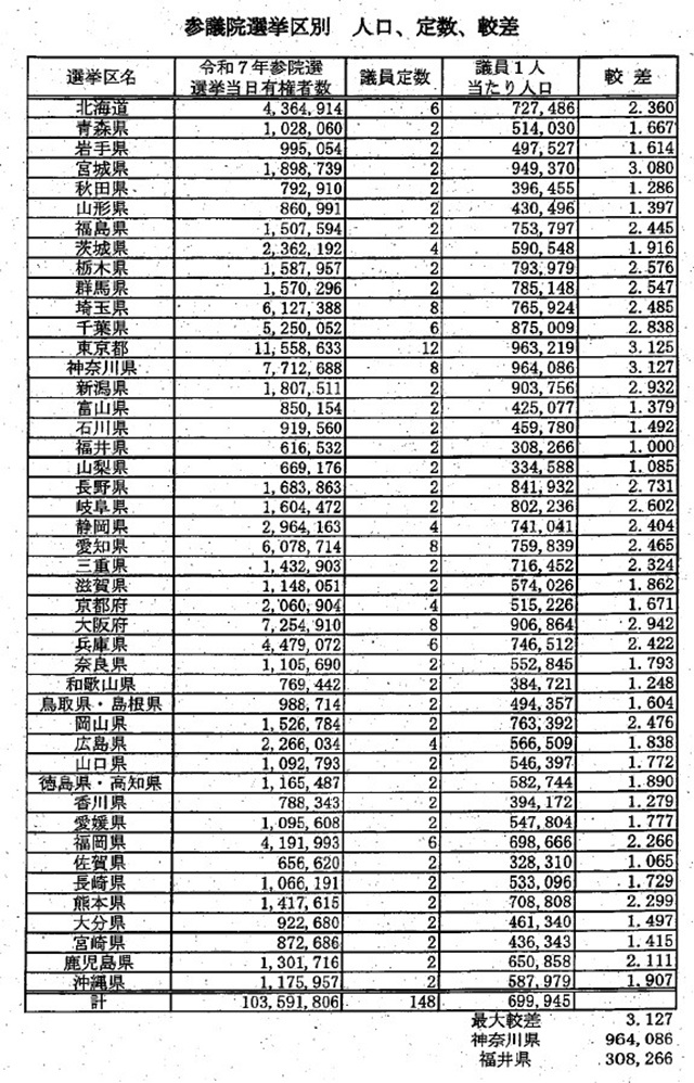
たとえば、(議員1人あたりの人口が、最も少ない福井県と比べて)宮城県が3.08倍、長野県が2.73倍となっている(※)。これらの選挙区はいわゆる『地方』であっても国民の声が届きにくくなっていることに変わりはない。

人間を基準にすれば、人間が少なければ代表者が少ないのは当たり前であり、それ以外のところで何か弊害があるのであれば、議員定数ではなく別の問題として解決しなければならないはずだ」

※東京都は3.13倍、神奈川県は3.13倍、大阪府は2.94倍、愛知県は2.47倍(【図表】参照)

【図表】参院の選挙区ごとの人口、議員定数、較差(判決別紙より)

永島弁護士も「都会と地方とで利害は共通している」と指摘した。

永島弁護士:「私たちの主張は、都会か地方かに関係なく、人口比例にすべきというもの。

あくまでも、合理性の観点から、どこの地域であっても、人口が多いところには相応の定数を配置してほしい、平等に進めてほしいと言っているだけだ。

『都会』も『地方』もそもそも利害関係を共通にしており、対立する関係にはない」

原告は、最高裁に上告する意向を示している。

  • この記事は、公開日時点の情報や法律に基づいて執筆しております。